中华人民共和国石油天然气行业标准
水基压裂液性能评价方法
Recomm ended practices on measuring the properties
of water一based fracturing fluid
目录
前言 ··················································II
1 范围 ·················································1
2 规范性引用文件 ············································1
3 术语和定义 ··············································1
4 仪器设备、试剂和材料 ·········································1
5 压裂液试样制备 ············································2
6 压裂液性能测定方法 ··········································3
7 测定结果表············································· ·7
附录A(资料性附录) 旋转粘度计选用 ····································8
附录 B(资料性附录) 压裂液性能测定结果表格式 ······························ 10
前言
本标准是对SY/T 5107-1995((水基压裂液性能评价方法》和 APIRP39:1998《交联水基压裂液粘性测推定荐做法》[API RP 39 Recommende practices on measuring the viscous properties of across-linked watert-based fracturin (1998年5月第3版)〕的修订并整合成为本标准。
本标准调整了性能评价的排列顺序;增加了压裂液基液密度和pH、含胶囊破胶剂、压裂液动态滤失损害、压裂液对注水井和和气井损害等测定方法。
本标准根据API RP39: 1998(第3版)有关内容对压裂液的粘度、流变性测试进行了修订,同时将SY/T 5107-1995中针对某具体型号仪器的叙述方法修订为同类仪器通用方法,删除了SY/T 5107-1995中的附录B“旋转粘度计与管道或裂缝中K,.n,η,值换算”,删除了SY/T 5107-1995中的附录C“岩心渗透率损害率测定说明”。本标准与 SY/T 5107-1995相比,章、条内容有变动。
本标准从生效之日起,同时代替SY/T 5107-1995。
本标准的附录 A、附录B都是资料性附录。
本标准由采油采气专业标准化委员会提出并归口。
本标准起草单位:中国石油勘探开发研究院廊坊分院压裂酸化技术服务中心。
本标准主要起草人:崔明月、陈彦东、刘萍、梁利、杨艳丽、何书琴、谢小芳。
本标准所代替标准的历次版本发布情况为:
——SY 5107-86,SY/T 5107107-1995。
水基压裂液性能评价方法
1 范围
本标准规定了水基压裂液性能测试方法。
本标准适用于油气田水力压裂用水基压裂液的性能测试和评价。
2 规范性引用文件
下列文件中的条款通过本标准的引用而成为本标准的条款。凡是注日期的引用文件,其随后所有的修改单〈(不包括勘误的内容)或修订版均不适用于本标准,然而,鼓励根据本标准达成协议的各方研究是否可使用这些文件的最新版版本。凡是不注日期的引用文件,其最新版本适用于本标准。
GB/T 1884 原油和液体石油产品密度实验室测定法(密度计法)
SY/T 5336-1996 岩心常规分析方法
SY/T 5370 表面及界面张力测定
SY/T 6074-94 植物胶及其改性产品性能测定方法
SY/T 6215-1996 压裂用降滤失剂性能试验方法
SY/T 6296-1997 采油用聚合物冻胶强度的测定 流变参数法
SY/T 6376-1998 压裂液通用技术条件
SY/T 66380-1998 压裂用破胶剂性能试验方法
API RP 39 交联水基压裂液粘性测定推荐做法(1998年 5月第 3版)
3 术语和定义
下列术语和定义适用于本标准。
剪切历史 shear history
水基压裂液流体在测量之前((和测量过程)所经过的混合方法、剪切速率顺序、剪切时间和温度变化的过程称为剪切历史。
4 仪器设备、试剂和材料
4.1 药物天平:感量0.19g;电子天平:感量0.0001g。
4.2 密度计:精度度±0.0001g/cm3。
4.3 比重瓶。
4.4 搅拌器:吴茵 (waring)混调器或同类产品。
4.5 高温高压同轴圆筒旋转粘度计:RV20旋转粘度计或同类密闭可在高温高压条件测试的产品(参见附录A)。
4.6 常压同轴圆筒旋转粘度计:范35型或同类6速旋转粘度计。
4.7 品氏毛细管粘度计。
4.8 控制应力流变仪:RS75或同类产品。
4.9 电热恒温水浴锅:工作温度为室温~100℃,控温精度:±1℃。
4.10 电热恒温干燥箱:工作温度为室温~200℃或250℃,控温精度±1℃
4.11 高温高压滤失仪及配套No.988滤纸或同类产品。
4.12 动态滤失伤害仪符合SY/T 6215-1196规定的产品。
4.13 表界面张力仪:符合SY/T 5370规定的产品。
4.14 气体渗透率测定仪:符合SY/T 53366-1996规定的产品。
4.15 高温高压岩心流动试验仪。
4.16 真空泵:抽气量为2L/s~4L/s,额定真空度为6.66X10-2Pa。
4.17 离心机:转速为Or/min~4000r/min,配套离心管,其容量为50ml。
4.18 广泛 pH试纸或 pH计。4.19 容量瓶、φl00G5#和;φl000G5#玻璃过滤漏斗、具塞刻度比色管。
4.20 化学试剂:氯化钾、氯化纳、氯化镁、氯化钙、碳酸钠等均为化学纯试剂。
4.21 精制煤油:去除水分和杂质并经过滤的煤油。
5 压裂液试样制备
5.1 试样制备要求
5.1.1 应说明压裂液名称、各组成成分、用量、配比、加入顺序、配制水、混合的时间((包括在一种或多种混调速度下的温度和时间)、在测试之前液体的老化时间和静置时间或者剪切历史的要求,说明测试所需的液体体积及特殊要求。
5.1.2 由于测试目的和压裂施工要求测试的条件不同,对压裂液测试前准备过程的剪切历史要求也不同,因此本标准无法规定统一的的测试前剪切历史。一般无特别说明的,可以视为压裂液制备后可直接测试而无需经测试前剪切历史。
5.1.3 对于有测试前剪切历史要求的压裂液,可以按照施工工艺设计和井筒条件计算温度和剪切条件来设定适宜宫的测试前剪切历史。在不清楚应用井况条件而仅用于比较同一类型压裂液的粘度性能时,根据API RP39:1998年(第3版)中4.1.2内容,推荐测试前剪切历史分为两种状况:液体测试温度低于93℃时,测试前剪切历史推荐为675s-1±67.5s-1条件下剪切2.5min±10s;液体测试温度大于或等于93℃时,测试前剪切历史推荐为 1350s-1±135s-1条件下剪切5.Omin±10s。
5.2 基液制备
5.2.1 量取按配方需要配制压裂液量的试验用水,倒入搅拌器中。
5.2.2 按配方称取所需添加剂的量,备用。
5.2.3 调节搅拌器转速至液体形成的漩涡可以见到搅拌器浆叶中轴顶端为止。
5.2.4 按顺序依次加入已称好的添剂加,稠化剂应缓慢加入,避免形成鱼眼,并时刻调整转速以保证达 到 5.2.3的漩游涡状态。破胶剂应在制备冻胶前加入。
5.2.5 在加完全部添加剂后持续搅拌5min,形成均匀的溶液,停停止搅拌。
5.2.6 将已配好的基液倒入烧杯中加盖,放入恒温30℃水浴锅中静置恒温4h,使基液粘度趋于稳定。
5.3 交联液制备
5.3.1 按配方要求直接使用液体交联剂为交联液。
5.3.2 按实际操作需要根据交联比稀释为所需浓度的交联液。
5.3.3 按配支和交联比要求将固体交联剂均匀溶解为所需浓度的交联液。
5.4 冻胶制备
5.4.1 不含胶囊破胶剂的冻胶制备方法一:针对排除空气影响的情况使用。取5.2制备的基液倒入烧杯中,用玻璃棒搅拌液体。如需要则加入破胶剂,然后边搅拌边加入交联液,直至形成能挑挂的均匀冻胶,澄免形成气泡。
5.4.2 不含胶囊破胶剂的冻胶制备方法二:针对忽略空气和气泡影响的情况使用。取 5.2制备的基液倒入搅拌器中,调节搅拌器转速,使液面形成漩涡,直至液体形成的漩涡可以见到搅拌器浆叶中轴顶端为止,使搅拌器恒速转动。如需要则加入破胶剂,然后将交联剂加入,直至漩涡逐渐消失为止。
5.4.3 含胶囊破胶剂的冻胶制备方法一:针对保持胶囊形态均匀分布的状况,适用于考察胶囊破胶剂包裹程度和对压裂液粘度保持率等试验的冻胶压裂液制备。胶囊破胶剂按 5.4.2方法使其均匀分布时,再加入交联剂形成冻胶。
注:对于有些情况下,一次性配置冰胶后在测试时只能使用部分冻胶试样时,也可以计算冻胶试样中应含有的胶囊量,而在冻胶形成后再将胶囊加入试样中,并在不改变剪切历史条件下使其均匀分布。
5.4.4 含胶囊破胶剂的冻胶制备方法二:针对要求破坏胶囊形态的情况,适用于考察含有胶囊破胶剂但又不能模拟地层条件令胶囊释放的压裂液破胶性能等试验的冻胶压裂液制备。可以计算胶囊破胶剂中有效破胶剂含量,用其实际有效破胶剂代替胶囊按 5.4.2加入,计算胶囊破胶剂有效含量按SY/T 6380-1998的5.2.2执行。
6 压裂液液性性能能源测~定方法
6.1 基液密度测定
用5.2配制的基液测定,按GB/T 1884执行。
6.2 基液 pH值
pH试纸或pH计测定5.2配制的基液的pH值。
6.3 基液表观粘度测定
用5.2配置的基液测定,按SY/T 6074-94的6.4执行。
6.4 压裂液交联时间的测试
以基液400ml为准,按5.4.2制备冻胶的方法,用秒表记录交联剂加入混调器中直至旋涡消失液面微微突起的时间。
6.5 压裂液耐温能力测定
在粘度计样品杯中加满压裂液后,对样品加热。控制升温速度为3℃/min±0.2℃/min,从30℃开始试验,同时转子以剪切速率 170s-1转动,压裂液在加热条件下受到连续剪切,以表观粘度降为50mPa•S时对应的温度表征为试样的耐温能力。
6.6 压裂液耐温耐剪切能力测定
6.6.1 在粘度计样品杯中加满压裂液后,对样品加热。控制升温速度为3℃/min±O.2℃/min,从30℃开始试验,同时转子以剪切速率170-1转动,温度达到要求测试的温度后,保持剪切速率和温度不变,直至达到要求的剪切时间为止。
注:如无特殊要求,测试温度为压裂液适用温度,测试时间为压裂裂作业施工时间。
6.6.2 用全过程取值对应的时间、温度和表观粘度关系来确定压裂液耐温耐剪切能力。
6.7压裂液流变参数测试
6.7.1测试程序。
6.7.1.1 在粘度计样品杯中加满压裂液后,对样品加热。同时转子以剪切速率170s-1转动,控制升温速度3.0℃/min±O.2℃/min至测试试温度温(±0.3℃),并且在整个试验过程中保持这个温度。
6.7.1.2 在达到测试温度的90%或在试验进行20min时(无论哪个先达到),开始第一次变剪切试验。变剪切包括从基本剪切速率170s-1阶梯降低和升高的循环过程。每一个剪切速率阶梯下可以剪企切10s,20s,30s或所要求的更长时间,剪切速率稳定后,记录剪切应成力的平均值((尽管如此,变剪切应该在尽可能短的时间内完成,特别是高温时,在变剪切过程期间确保液体不会降解)。
6.7.1.3 推荐变剪切循环阶梯为 170s-1,150s-1,125s-1,l00s-1,75s-1,50s-1,25s-1,50s-1,75s-1,100s-1,125s-1,150s-1,170s-1。
注:有的仪器可能会自动将变剪切循环过程设定为无阶梯连续变化,用户应考察特定压裂液对连续变化和阶梯变剪切所得到的数据之间的差别,以决定是否使用连续变化。
6.7.1.4 在测试温度下第一次变剪切完成后,每20min进行一次变剪切试验。重复次数根据压裂作业施工时间确定,两个变剪切间以170s-1作为基本剪切。记录每一次剪切速率值下的剪切应力。
6.7.2 K'和n'值确定。
流变参数K'和n'按假塑性幂律流体公式计算:

式中:
R----- 剪切应力,Pa;
K'---- 稠度系数,mPa·sn’;
D----- 剪切速率,s-1 ;
n ,---- 流动行为指数。
根据试验得出的r和D值,对式 ((1)两边取对数得式 (2):

在双对数坐标上作出r-D的曲线,斜率为n’,截距为K'。
流变参数应保留不同时间下测定的几组K', n'值。如果用户要求仅报告一组,则K', n'值为所测流动曲线K', n'值的算术平均值,也可根据工艺设计要求选取某一时间下测定的那组值。
6.8 压裂液粘弹性测定
压裂液粘弹性测定按SY/T 6296-1997中第6章执行。
6.9 压裂液静态滤失性测定
6.9.1 测试条件:测定不含支撑剂的压裂液在一定温度和压力下通过滤纸的滤失性。测定温度为压裂液适用温度范围。试验压差为3. 5MPa,回压按仪器要求确定。
6.9.2 测试程序:
a)加样:在测试筒中装入仪器规定量的压裂液样品,放置 2片圆形滤纸,装好滤筒并放进加热套内。
b)对样品加热、加压:按仪器说明书,给滤筒施加初始压力,在30min内加热到测定温度。
C)测试;当温度达到测定温度,试验压差为 3.5MPa,滤液开始流出,同时记录时间、滤液的累积滤失量,精确到0.1 mL,测定时间为36min,测定过程中,温度允许波动为±5℃ ,6.9.3 C3 ,Uc 和Qsp的确定:用压裂液在滤纸上的滤失数据,以累积滤失量为纵坐标,以时间平方根为横坐标,作图。
累积滤失量与时间的平方根成线性关系。该直线段的斜率为m,截距h。当截距h小于0时,用 9min以后的数据重新回归。受滤饼控制的滤失系数C3、滤失速度Uc和初滤失量Qsp按式 (3)~式 (5)计 算 :

Uc—— 滤失速度,m/min;
t —— 滤失时间,min;
Qsp——初滤失量,m3 /m2;
H——滤失曲线直线段与y轴的截距,cm2,
6.10 压裂液滤液对岩心基质渗透率损害率测定
6.10.1 测定准备。
6.10.1.1 流动介质:
a)流动介质为地层水、模拟地层水或标准盐水,煤油和氮气。
b)流动介质选用原则:对油井用煤油作流动介质;对注水井用地层水、模拟地层水或标准盐水作流动介质;对气井用氮气作流动介质。
c)标准盐水组成:2.0%KCl+5.5%NaCl+0.45%MgC12+0.55%CaC12。
配制步骤:准确称取KCI, NaCl, MgC12, CaCl2:加在容量瓶中用蒸馏水配制,可适当加热、晃动,直到全部溶解。将配制好的标准盐水用φl00G4# 玻璃过滤漏斗过滤,还需用真空泵脱气1h,
d)精制煤油:对普通煤油用硅粉或活性白土处理,除去煤油中的水分及杂质,再用φl00G5#玻璃过滤漏斗过滤,还需用真空泵脱气1h,
6.10.1.2 岩心:
a)最好使用在待压裂的地层中取得的天然岩心。如果没有,也可以使用与待压裂地层渗透率、 孔隙度、岩性相似的其他地层或露头岩心,或与上述岩性相似的人造岩心进行试验。
b)天然岩心应从储层流体流动平行的方向钻取圆柱体,两端面磨平,并与光滑的圆柱面相垂直。岩心直径为25mm-25. 4mm或者37mm-38mm,岩心长度为直径的1倍-1.5倍。岩心必须彻底洗油,岩心清洗和烘干按SY/T 5336-19%执行。
c)岩心气体渗透率和孔隙体积测定按SY/T 5336-1996执行。
6.10.1.3 岩心饱和:用相应的流动介质饱和岩心按SY/T 5336-1996中4.1.1.2.3执行。对于测试方特别要求的,可根据储层特征建立相应的束缚水饱和度。
6.10.1.4 压裂液滤液收集:按6.9测定方法,适当增加滤失时间,收集足够试验用的压裂液滤液。
6.10.2 岩心基质渗透率损害测定程序。
6.10.2.1 损害前岩心渗透率K1的测定:使流动介质从岩心夹持器反向端挤人岩心进行驱替,流动 介质的流速低于临界流速。直至流量及压差稳定,稳定时间不少于60min。注水井的流动介质应从岩心夹持器正向端入口进人岩心。
6.10.2.2 损害过程:将压裂液滤液装人高压容器中,用压力源加压,使滤液从岩心夹持器正向端入口进人岩心。当滤液开始流出时,记录时间、滤液的累计滤失量,精确到0.1mL。测定过程中,测定时间为36min,温度允许波动为±5℃。挤完后,并闭夹持器两端阀门,使滤液在岩心中停留2h, 试验温度为压裂液适用温度。
6.10.2.3 损害后岩心渗透率K2的测定:按6.10.2.1方法测定岩心受到压裂液滤液损害后的流动介质的渗透率K2。
6.10.2.4 气井损害岩心渗透率K1,K2的确定:天然气生产井的岩心渗透率K1,K2均按气体渗透率计,测定气体渗透率按SY/T 5336-1996执行。其中K2为损害后岩心直接测定的气体渗透率。
6.10.3 岩心渗透率K1,K2均按式 (6)计 算 :

式 中 :
K-----岩心渗透率,µm2;
Q-----流动介质的体积流量.cm3/S;
µ---- 流动介质的粘度,rnPa·s;
L---- 岩心轴向长度.cm;
P---- 岩心进出口的压差,MPa;
A ----岩心横截面积,cm2。
6.10.4 基质渗透率损害率按式 ((7)计算:

式 中 :
ηd----渗透率损害率,用百分数表示;
K1----岩心挤压裂液滤液前的基质渗透率,µm2;
K2----岩心挤-裂液滤液损害后的渗透率,µm2。
6.11 压裂液动态滤失性测定
岩心准备按 6. 10.1,测试按 SY/T 6215-1996 中6.7执行,并去掉其中6.7.4. 1挤标准盐水过程。
注 :在气井岩心做且仅做压裂液动态滤失测试中,推荐将该岩心先行使用标准盐水进行饱和以便正确取得滤失。
6.12 压裂液动态滤失对岩心损害率测定
6.12.1 损害前岩心渗透率 K1的测定:岩心准备按 6. 10.1执行,测试按6. 10.2.1执行。对于测试方特别要求的,可根据储层特征建立相应的束缚水饱和度,然后再对该岩心测试 K1 。
6.12.2 损害过程:在剪切历史模拟和滤失端面符合 SY/T 6215-1996 规定的设备上,模拟压裂施工压裂液流经裂缝壁面的过程,使压裂液经测试前剪切历史模拟后流经岩心端面。压裂液流动系统压力岩心两端形成3. 5MPa的滤失压差。当建立稳定滤失压差或有液体流出时,开始记录时间、累计滤液的滤失量,精确到0.1mL。测定时间为36min,温度允许波动为±5℃。挤完后,关闭夹持器两端阀门,使滤液在岩心中停留2h。试验温度为压裂液适用温度。
6.12.3 损害后岩心渗透率K2的测定:测试按6.10.2.3执行,对于天然气生产井损害率测定,K2的测定按 6.10.2.4执行。
6.12.4 岩心渗透率 K1,K2的确定按 6.10.3执行。
6.12.5 动态滤失渗透率损害率的确定按6.10.4执行。
6.13 压裂液破胶性能测定
将压裂液装入密闭容器内,放入电热恒温器中加热恒温,恒温温度为储层温度。使压裂液在恒温温度下破胶。按配方提供时间或施工工艺设计要求时间,取破胶液上面的清液测定粘度。
6.13.1 破胶液粘度测定:用毛细管粘度计测定破胶液粘度,测定温度分别选取储层温度、30℃或等于井口出油温度进行。储层温度高于100℃时,测定破胶液的温度选取为 95℃。
注:使用比重瓶测试破胶液的密度,可使破胶液的粘度在运动粘度和动力粘度间换算。
6.13.2 破胶液表面、界面张力测定:以煤油和破胶液清液界面作油水界面,测定界面张力。表面和界面张力测定按SY/T 5370执行。
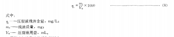
6.14 残渣含量测定
6.14. 1 测试程序:按5:4制备冻胶压裂液。量取定量体积V0的压裂液,V0一般可取50m离心管满容积的容纳量 ,装入密闭容器中加热恒温破胶,恒温温度为油层温度,室温测定破胶液粘度低于5mPa•s 时可以视为彻底破胶。把彻底破胶的破胶液全部移入已烘干恒量的离心管中,将离心管放入离心机内,在3000r/min±150r/min的转速下离心 30min,然后慢慢倾倒出上层清液,再用水 50mL洗涤破胶容器后倒人离心管中,用玻璃棒搅拌洗涤残渣样品,再放入离心机中离心20min,倾倒上层清液,将离心管放入恒温电热下燥箱中烘烤,在温度lO5OC ±10C条件下烘干至恒量,其值为 m3。
6.14.2 压裂液残渣含量按式 (8) 计算:

6.15 压裂液与地层流体配伍性测定
6.15.1 破乳率测定
6.15.1.1 将原油和压裂破胶液分别按3:1, 3:2, 1:1的体积比混合,装入容器置于恒温水浴锅中,加热恒温,恒温温度为压裂地层温度,地层温度大于100℃的都采用 95℃。将恒温了的混合液体放入吴茵混调器,调节搅拌器转速至液体形成的漩涡可以见到搅拌器浆叶中轴顶端为止。恒速搅拌时间10min,然后将液体倒人刻度比色管中,记录实际乳状液的体积,把装有乳状液的具塞刻度比色管放入恒温水浴锅中静置恒温,恒温温度为压裂地层温度,地层温度大于100℃的都采用95℃。分别记录时问为3min, 5min, 10min, 15min, 30min, 60min及2h, 4h, 10h, 24h分离出的破胶液体积。
6.15.1.2 乳化率和破乳率按式 (9)和式 (10)计算:

6.15.2 与地层水配伍性观察:破胶液与地层水按 1:2. 1:1, 2:1 的体积比混合,观察是否产生沉淀。
6.15.3 压裂液添加剂之间配伍性观察:将压裂液添加剂搜配方要求顺序依次加入.观察是任产生沉淀。
6.16 压裂液降阻率测定
6.16.1 室内测定降阻率:实验室测定压裂液降阻率按 SY/T 6376-1998中 6.13.1 执行
6.16.2 现场测定降阻率:现场测定压裂液降阻率按 SY/T 6376-1998 中6.13.2 执行。
7 测定结果表
测定结果可填入附录 B(资料性附录)的表格中
附 录 A
(资料性附录)
旋 转 粘 度 计 选 用
A. 1 常用的旋转粘度计
在流变学研究中常用的粘度计包括:旋转粘度计和流变仪、毛细管粘度计、控制应力流变仪、落球粘度计和狭缝流变仪。旋转粘度计能控制输入剪切速率,测定产生的剪切应力,一般用于研究流体的粘度性能;控制应力流变仪则能控制输入应力,测定产生的应变,一般用于研究流体的粘弹性能.有些流变仪往往同时具备这两种能力,如 RS75, RS600控制应力流变仪 ,而有些粘度计的测定能力相对单一,如RV20, RT30等粘度计。在压裂液的粘度性能研究中,主要应用旋转粘度计测定粘度、控制应力流变仪测定粘弹性和毛细管粘度计测定破胶液粘度。
旋转粘度计可以配备同轴圆筒测量头系统和锥板/平行板测量头系统。通常选用同轴圆筒测量头系统,是因为其可以测定流体在密闭和高温高压条件下的粘度性能,一方面可以避免压裂液由于粘弹性造成的爬竿现象 〔威森堡效应)影响测量的进行,另一方面可以满足压裂液模拟现场温度条件的测量。由于设计差别,同轴圆筒测量还可以分为Searle和Couette测定系统。Searle测量系统是外圆筒(杯)固定,内筒 (转子)旋转,同时通过内筒上的扭矩传感器测定剪切应力,即马达驱动力和扭矩检测器都作用于同一转子轴上,如RV20的M10一D100/300测量头系统;Couette测定系统则是外筒 (转杯)旋转,内筒 (定子)连接扭矩传感器测量剪切应力,即马达驱动力和扭矩检测器分别作用于转杯和转子轴上,如范50系列粘度计。当两种测量系统都具有非常小的狭缝尺寸时,在内筒或外筒壁上加有相同的转速,那么液体粘度值在环缝截面上的分布是常数,而且两种测量系统的结果是相同的。
A. 2 影响旋转粘度计测量的因素
影响旋转粘度计测量结果的因素主要表现在对剪切速率的确认。对于同轴圆筒粘度计,剪切速率和3因素即内转筒与外转筒之间的间隙(环形狭缝半径比)、液流位置、粘度计内壁 (会否滑移)有关。
A. 2. 1 半径比
在同轴圆筒测量系统中,剪切速率用式 (A.1)近似计算:

但由于在同轴圆筒测量系统中狭缝R8 -Ri之间的速度梯度并不是线性的,用式 (A.1)只能计算转子表面区域的相关剪切速率,如用以计算狭缝间任意点的剪切速率就会导致不可忽视的偏差。而且当测试压裂液这种非牛顿流体时,速度梯度的非线性化更为严重。狭缝间隙越小,这种偏差越低。通常使用半径比S表述环形狭缝的大小,用式 (A.2)计算。

一般半径比限制范围在1.00- 1.10 之间。因此,为了测量压裂液这种非牛顿流体的绝对粘度,选用值小的内外筒组合是粘度计选用的最重要的质量准则。
A.2.2 液流位置
测量粘度时,按惯例转筒壁上的切向剪切速率会被当作标准剪切速率,这剪切速率取决于转筒的转速和定子的面积。但在试验中用不同的旋转粘度计,不同的内外筒组合时,基于在内筒壁上用同一正常的剪切速率测量,测试的粘度数据可能是不可重复的。通常,窄间隙测量系统测量的结果比宽间隙测量的结果得到的粘度低。
造成粘度不同的原因除了半径比的影响外,内筒上下接近静止的液体塞和这个塞子循环进入间隙的能力的大小也会影响测量结果。由于小内筒有一个宽间隙,在接近静止的液体塞的末端,交联的液体形成较高的粘度,能够很容易循环流入这个间隙,产生一个较高粘度。较大一点的内筒有一个小间隙,因此液体塞末端的交联液体不容易循环流入这个间隙,产生二个较低粘度值。此差异对于工程应用也许可以忽略,但是对于更深入研究的目的和冻胶粘度测定可重复性来讲,则是需要进行研究和消除的。
一般假设这个差异是非均匀流体造成的。非均匀流体既可以在滑动状态中产生低表观粘度,也可以在分散状态中产生高表观柏度。当一种冻胶流体为非均匀液体时,液体的表观粘度是测试几何系统的一个函数。因此 API RP 39: 1998 (第3版)附录A基础流变学概念中A.3介绍了以体积平均剪切速率 (VASR) 为基础的测量交联冻胶粘度的试验方法。这种体积平均剪切速率可以从剪切速率的体积积分中获得。这个体积平均剪切速率是定子面积和流体流动行为指数的一个函数。
当用不同尺寸大小的定子来测量已交联冻胶的粘度特性时, VASR 是可计算的基本剪切速率。 因为在测试之前流体流动行为指数 (n') 是未知的,所以必须进行反复测试得到最后计算结果。通常,冻胶粘度测定可重复性的粘度测试需要2个步骤:第一,用不同内外筒组合在相同的切向剪切速率进行两个试验。通过在第一步试验中获得流体流动行为指数:(n')的值,可以判断体积平均剪切速率。第二,通过改变杯子转速在相同的体积平均剪切速率下再次实验。应用体积平均剪切速率(VASR) 为基础的测量,来测定交联冻胶的粘度特性的试验时,内筒大小对压裂液粘度值的影响可能是最小的。并且当VASR 的值一定时,即使用不同大小的定子,表观粘度的测量也是可重复的。
A.2.3 滑移校正
同轴圆筒之间的流动是稳态旋转层流。但当发生滑移时,液体〈冻胶〉在定子表面上的速度并不是0, 这种非0流体速度(在旋转的同-个方向)被认为是在内部定子上的一定角速度。这种定子的假旋转将造成实际剪切速率小于由预测的杯子转速计算的剪切速率。当滑移现象发生时,计算出来的粘度比实际液体的粘度要小。
滑移校正需要用平均半径相同,但表面粗糙度不同的两个定子进行对比实验。其中一个定子的表离平滑,沿着定子表面出现滑移;另-个定子的表面粗糙,能够有效地防止滑动,阻止形成滑动层并保持它的完整。

微信扫码 关注我们
Copyright © 2018-2022 188beat登录入口 版权所有 地址:上海市浦东新区曹路镇金海路2588号B217室 备案号:沪ICP备19046444号-1